在3D打印领域,传统 FDM 技术常用的聚合物材料如丙烯腈 - 丁二烯 - 苯乙烯等,虽效率高但不环保且昂贵。生物质材料用于 3D
打印受到关注,其中木质素因具有高稳定性、抗菌等特性被视为可持续 3D
打印材料的潜力原料。然而,木质素复杂的分子结构、高粘度和易炭化等问题,阻碍其在 3D 打印中的应用,目前其在 FDM - 3D
打印中多与其他聚合物低比例混合使用,且混合过程常出现相分离,限制了打印材料的性能。
来自加拿大湖首大学的 Pedram Fatehi
教授团队和芬兰奥博学术大学的徐春林教授团队合作,开展了一系列研究工作以解决上述痛点。团队先通过乙醇对桦木碱木质素进行分级处理,降低其分子量,增加羟基浓度。随后,将分级后的木质素与己内酯进行聚合反应,制备木质素
- 己内酯聚合物。通过 Box - Behnken 表面法优化反应条件,全面表征聚合物性能,并评估其 3D 打印性能。
相关工作以 “3D printable lignin - caprolactone material” 为题发表在《Green
Chemistry》上。研究表明,该方法制备的聚合物具有良好的 3D 打印性能,为木质素在 3D
打印材料中的应用提供了新途径,有望减少无机和合成聚合物在 3D 打印材料中的使用,推动可持续发展。
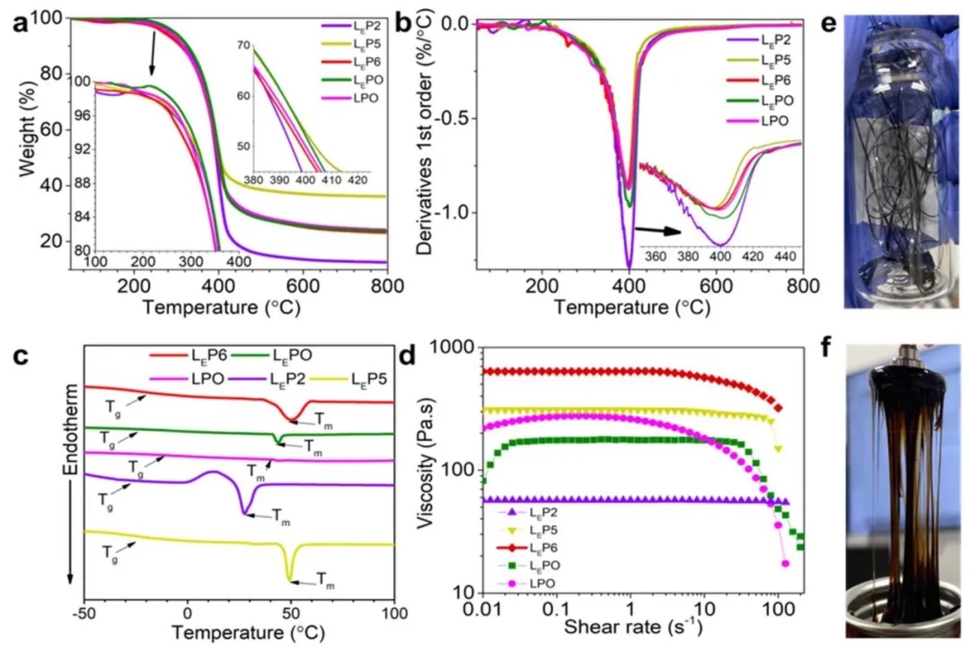
通过凝胶渗透色谱、核磁共振、热重分析等研究方法,研究了未分级桦木碱木质素(L)和乙醇分级后木质素(LE)的化学结构、分子质量和热性能。结果表明,乙醇分级使LE的分子量和多分散性显著低于L,LE的酚羟基含量增加,分子间氢键作用增强,热稳定性有所变化,其起始分解温度和50%失重温度低于L,但最大失重速率温度比L高20°C。同时,LE的玻璃化转变温度低于L
,这归因于其分子量降低、分布变窄和羟基变化。

运用31P NMR和1H NMR分析方法,研究木质素与己内酯聚合反应前后聚合物的结构变化。结果显示,聚合后木质素 -
己内酯聚合物的所有羟基含量相较于LE和L均有所下降,证明了聚合反应的成功以及木质素羟基参与反应。LEPO的接枝率和取代度高于LPO,且不同CL/OH比的样品中,LEP2的接枝率和酚羟基取代度最高。从1H
NMR光谱可知,共聚物出现PCL链的特征峰,且LPO的聚合度高于LEPO。

借助HSQC NMR光谱研究方法,对不同木质素 - 己内酯聚合物的芳香族和脂肪族区域C -
H相关信号进行研究。结果表明,LEP系列聚合物和LEPO在含氧脂肪族区域与LE有相似连接,同时因PCL链引入,脂肪族区域信号增强。LPO和LEPO的脂肪族和芳香族连接区域有相似之处,但LPO中部分芳香族连接信号强度弱于LEPO,这可能与L和LE的差异以及PCL在LPO中的接枝和长链结构有关。

利用热重分析仪和差示扫描量热仪等研究手段,分析木质素 -
己内酯聚合物的热性能和流变性能。结果表明,聚合后的聚合物热稳定性提升,LEPO和LPO的起始分解温度、50%失重温度等高于LE和L。所有样品的玻璃化转变温度低于L和LE。在流变性能方面,LEPO在低剪切速率下粘度更低,LEP2粘度恒定无剪切变稀特性,LEP5和LEP6虽有剪切变稀行为但粘度较高,不适合3D打印,LEPO和LPO因低粘度和良好剪切变稀行为更适合3D打印。

通过温度扫描和频率扫描实验等研究方法,探究LPO和LEPO的流变性能、机械性能和表面性能。结果显示,LPO的复数粘度、储能模量和损耗模量高于LEPO,且LPO的G'和G''交叉点温度比LEPO高15°C,表明LEPO在打印时层间附着力更好,粘性和弹性性能更平衡。频率扫描分析表明两者在打印喷嘴中均能流动,但LPO较高粘度可能导致挤出时细丝屈曲。LEPO的拉伸强度为0.9±0.02MPa,水接触角为92°,高于LPO,疏水性更强。

采用FDM
3D打印实验和显微镜观察的研究方法,评估LPO和LEPO的3D打印性能。结果表明,LPO打印样品层间有明显间隙,层间扩散和附着力低;而LEPO打印层间无间隙,层间附着力和填充效果更好。这是因为LPO粘度高、分子量高,易发生热交联,降低分子流动性和界面扩散,影响层间附着力,而乙醇分级使LEPO分子量和粘度降低,提升了3D打印性能。

研究结论
本研究先以乙醇对桦木碱木质素分级,降低其分子量与分布,再将分级后的木质素与己内酯聚合用于FDM-3D打印。分级后的木质素羟基含量增加,为己内酯接枝提供更多位点。研究以熔体温度、聚合度和粘度为关键因素优化共聚反应,得到优化样品LEPO(CL/OH比1.15mmol/g
、反应420分钟、催化剂浓度1 wt% )。其打印性能良好,熔体温度48°C,呈剪切变稀行为,粘度仅160.9
Pa·s,热稳定性佳(起始温度292.2°C)。熔体流变结果显示,LEPO层间附着力和机械性能优于未分级的LPO。此外,LEPO水接触角比LPO高30°,与CL接枝率高11%的结果相符。综上,木质素乙醇分级是制备3D打印用木质素-己内酯聚合物的有效方法,不过该聚合物在生物医学等领域的应用还需进一步研究。
文章来源: https://doi.org/ 10.1039/d4gc06179a

0 留言